v1.36.0 Benchmark

| minikube version: v1.36.0 | kind v0.29.0 go1.24.2 linux/amd64 | k3d version v5.8.3 | |
|---|---|---|---|
| Command Exec | 21.056 | 14.240 | 12.593 |
| API Server Answering | 0.055 | 0.056 | 0.067 |
| Kubernetes SVC | 0.048 | 0.051 | 0.052 |
| DNS SVC | 0.048 | 0.049 | 0.049 |
| App Running | 6.393 | 17.979 | 3.039 |
| DNS Answering | 23.211 | 0.601 | 4.137 |
| Total | 50.812 | 32.977 | 19.937 |

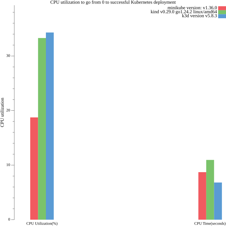
| minikube version: v1.36.0 | kind v0.29.0 go1.24.2 linux/amd64 | k3d version v5.8.3 | |
|---|---|---|---|
| CPU Utilization(%) | 18.742 | 33.290 | 34.301 |
| CPU Time(seconds) | 8.712 | 10.952 | 6.813 |
Feedback
Was this page helpful?
Glad to hear it! Please tell us how we can improve.
Sorry to hear that. Please tell us how we can improve.