v1.31.0 Benchmark

| minikube version: v1.31.0 | kind v0.20.0 go1.20.4 linux/amd64 | k3d version v5.5.1 | |
|---|---|---|---|
| Command Exec | 27.130 | 20.458 | 14.116 |
| API Server Answering | 0.072 | 0.080 | 0.103 |
| Kubernetes SVC | 0.062 | 0.066 | 0.091 |
| DNS SVC | 0.065 | 0.065 | 0.091 |
| App Running | 14.916 | 20.992 | 12.274 |
| DNS Answering | 31.136 | 2.656 | 1.606 |
| Total | 73.380 | 44.318 | 28.281 |

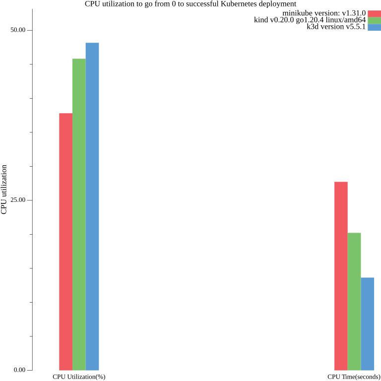
| minikube version: v1.31.0 | kind v0.20.0 go1.20.4 linux/amd64 | k3d version v5.5.1 | |
|---|---|---|---|
| CPU Utilization(%) | 37.815 | 45.834 | 48.174 |
| CPU Time(seconds) | 27.728 | 20.222 | 13.645 |
Feedback
Was this page helpful?
Glad to hear it! Please tell us how we can improve.
Sorry to hear that. Please tell us how we can improve.